Sign in
Johor
Kedah
Kelantan
Kuala Lumpur
Melaka
Negeri Sembilan
Pahang
Perak
Perlis
Pulau Pinang
Sabah
Sarawak
Selangor
Terengganu
Sign in
Welcome!
Log into your account
your username
your password
Forgot your password?
Privacy Policy
Password recovery
Recover your password
your email
Search
InsightAI
More
InsightAI
More
InsightAI
Johor
Kedah
Kelantan
Kuala Lumpur
Melaka
Negeri Sembilan
Pahang
Perak
Perlis
Pulau Pinang
Sabah
Sarawak
Selangor
Terengganu
More
SEARCH...
Facebook
Instagram
Twitter
Home
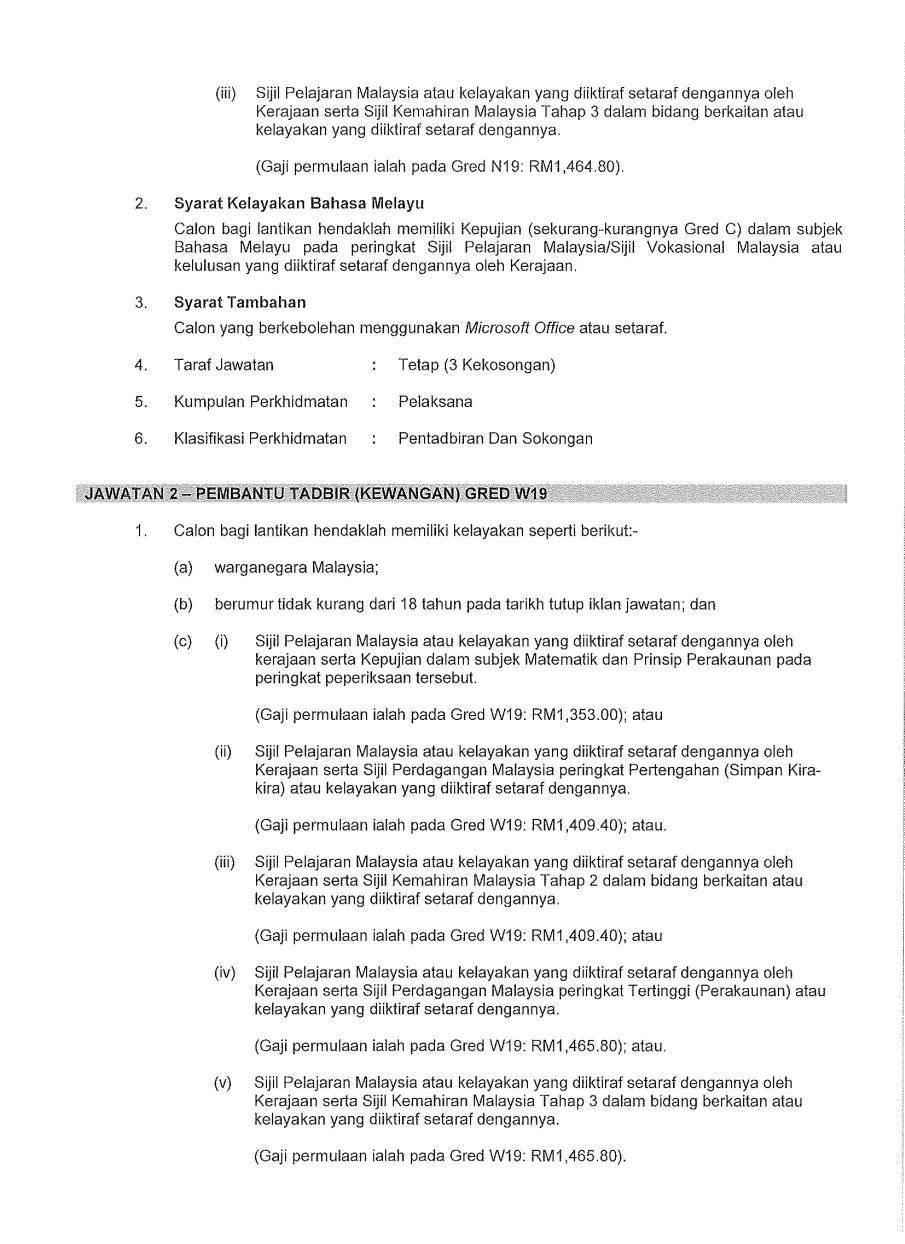
Iklan Jawatan Majlis Perbandaran Alor Gajah (MPAG)
Iklan Jawatan Majlis Perbandaran Alor Gajah (MPAG)